臺灣博物學會會報 第一卷 第四號
目錄
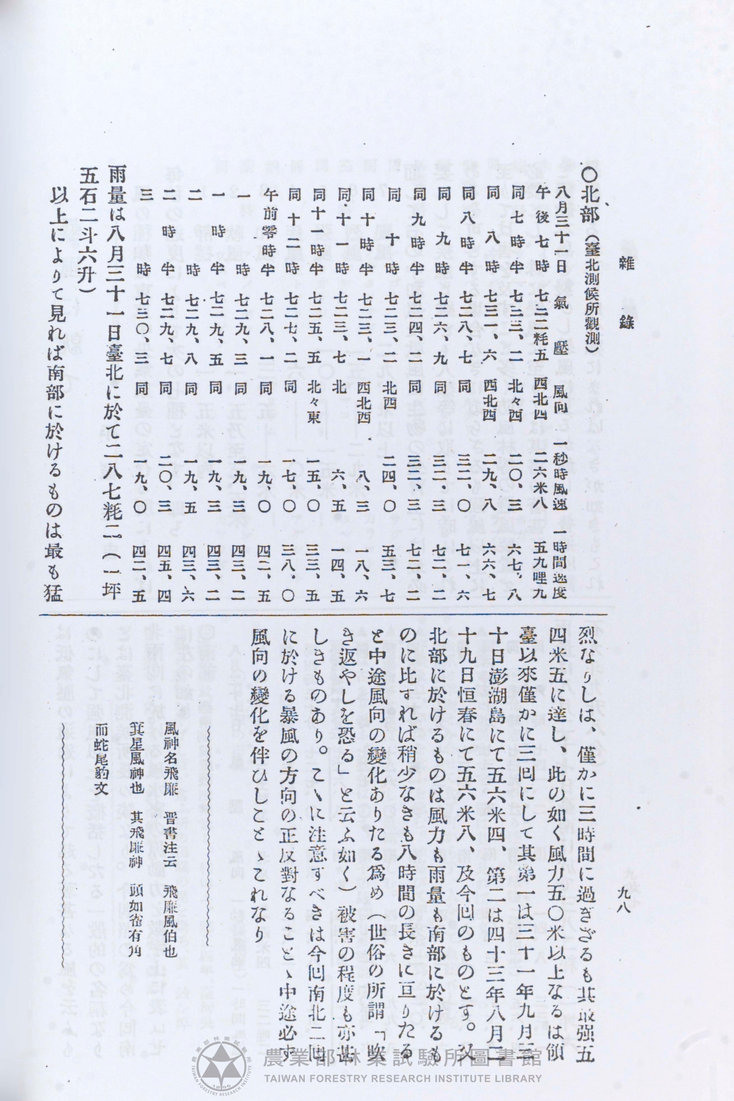
全部展開
第1頁
第2頁
第3頁
第4頁
第5頁
第6頁
第7頁
第8頁
第9頁
第10頁
第11頁
第12頁
第13頁
第14頁
第15頁
第16頁
第17頁
第18頁
第19頁
第20頁
第21頁
第22頁
第23頁
第24頁
第25頁
第26頁
第27頁
第28頁
第29頁
第30頁
第31頁
第32頁
第33頁
第34頁
第35頁
第36頁
第37頁
第38頁